首页 > 声乐 > 简谱 / 正文内容_你们匆匆离去电视剧《红岩》片尾曲-瞿琮,章绍同,王莹简谱

你们匆匆离去电视剧《红岩》片尾曲-瞿琮,章绍同,王莹简谱

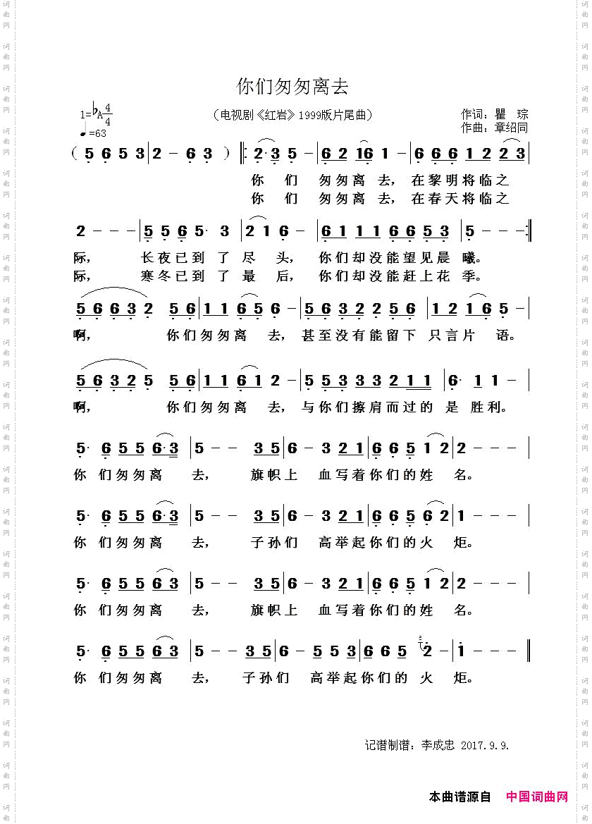
你们匆匆离去电视剧《红岩》片尾曲

相关话题:瞿琮   章绍同   王莹

乐器分类
戏曲专栏
热门话题