首页 > 声乐 > 简谱 / 正文内容_九张机_网剧《双世宠妃》主题曲-九张机,张富贵,周琦,叶炫清简谱

九张机_网剧《双世宠妃》主题曲-九张机,张富贵,周琦,叶炫清简谱

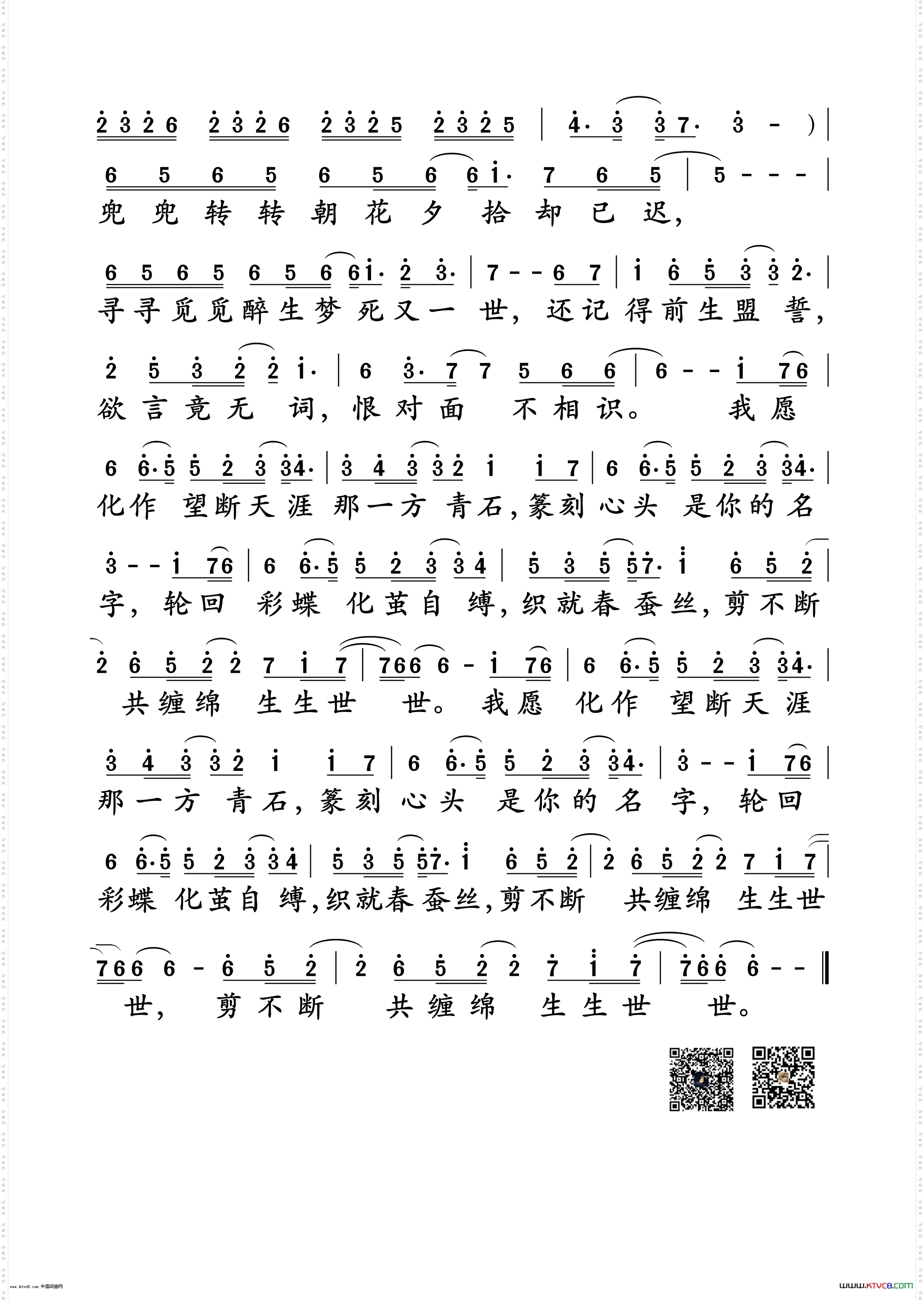
九张机_网剧《双世宠妃》主题曲

九张机_网剧《双世宠妃》主题曲

相关话题:九张机   张富贵   周琦   叶炫清

乐器分类
戏曲专栏
热门话题