首页 > 声乐 > 简谱 / 正文内容_会唱歌的晚霞-会唱歌的晚霞,高勉,方鹏凯简谱

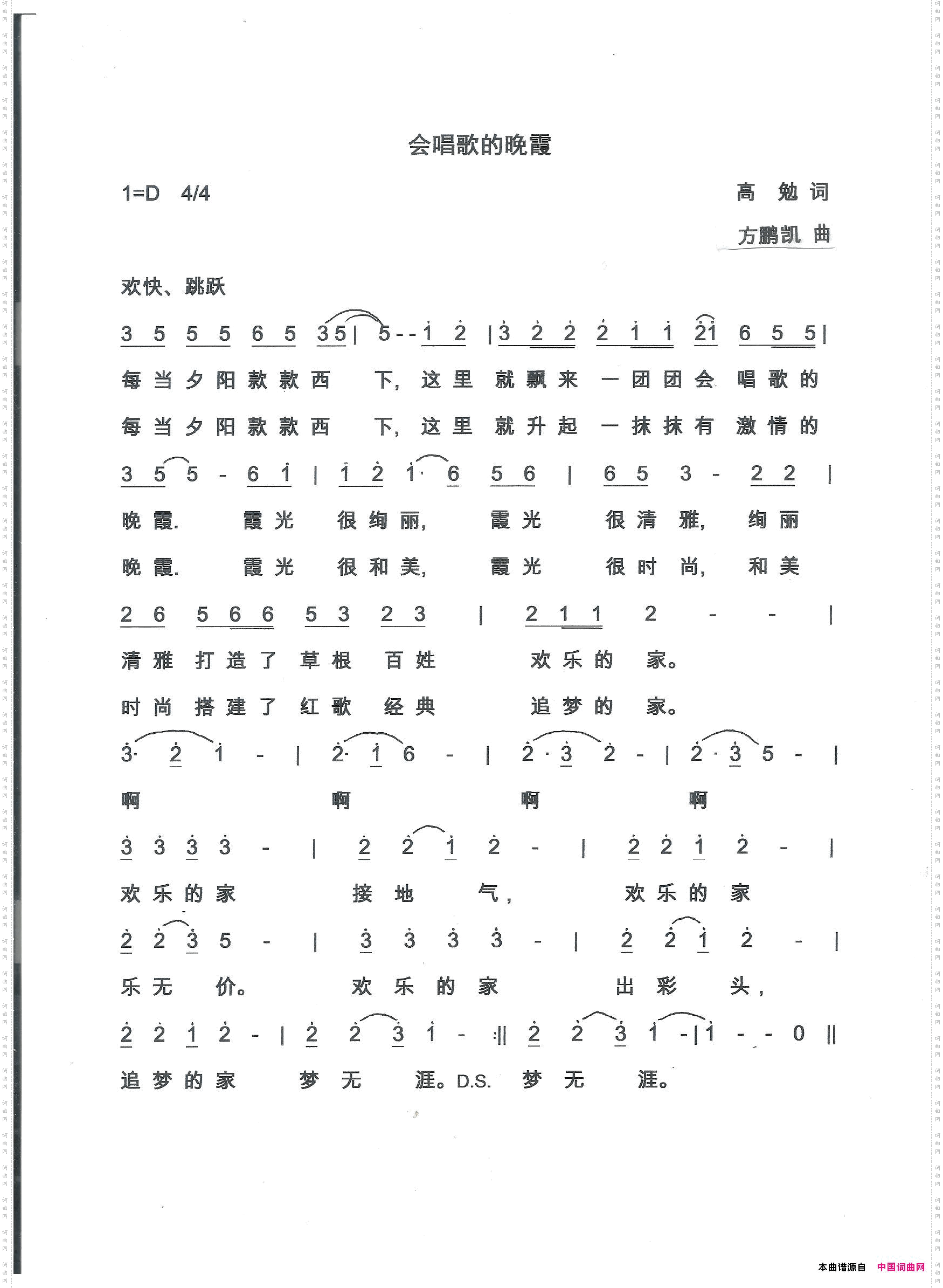
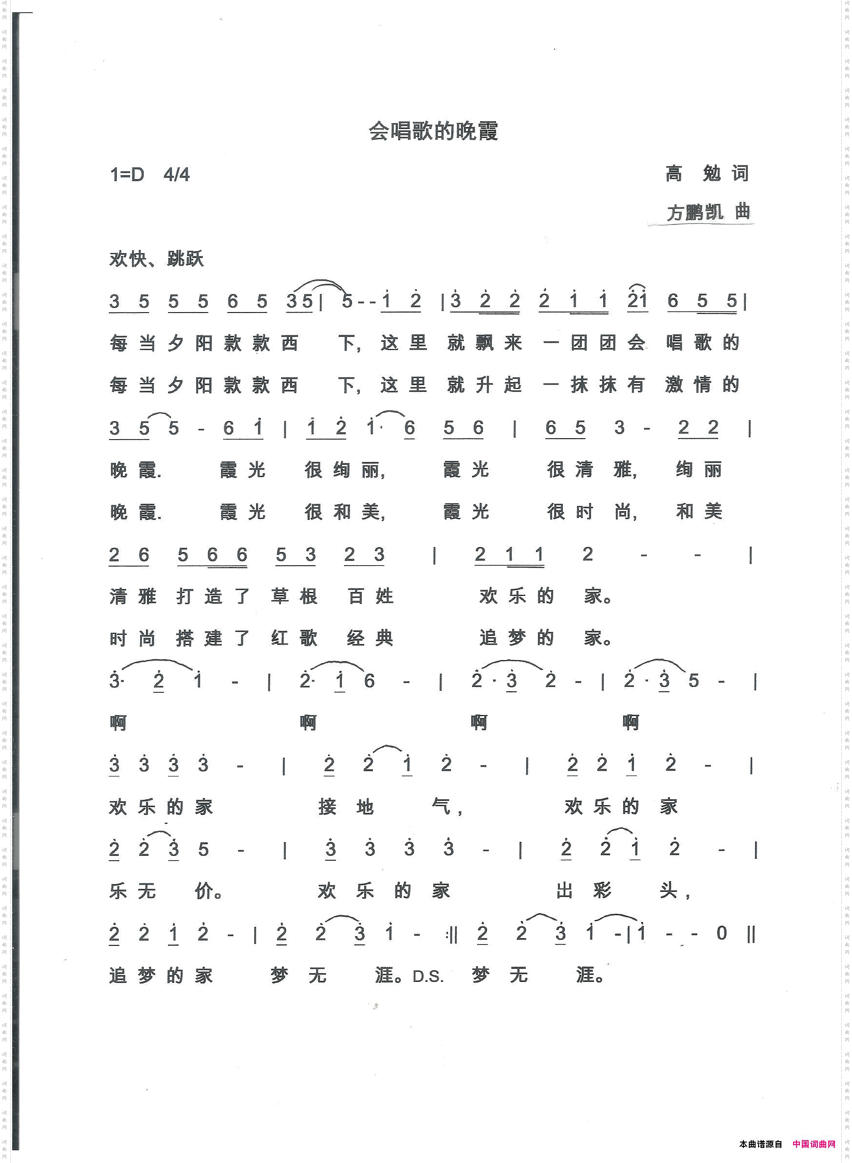
会唱歌的晚霞-会唱歌的晚霞,高勉,方鹏凯简谱

会唱歌的晚霞

会唱歌的晚霞

会唱歌的晚霞

相关话题:会唱歌的晚霞   高勉   方鹏凯

乐器分类
戏曲专栏
热门话题