首页 > 声乐 > 简谱 / 正文内容_长相思秋之怀想-萧冰,方鹏凯简谱

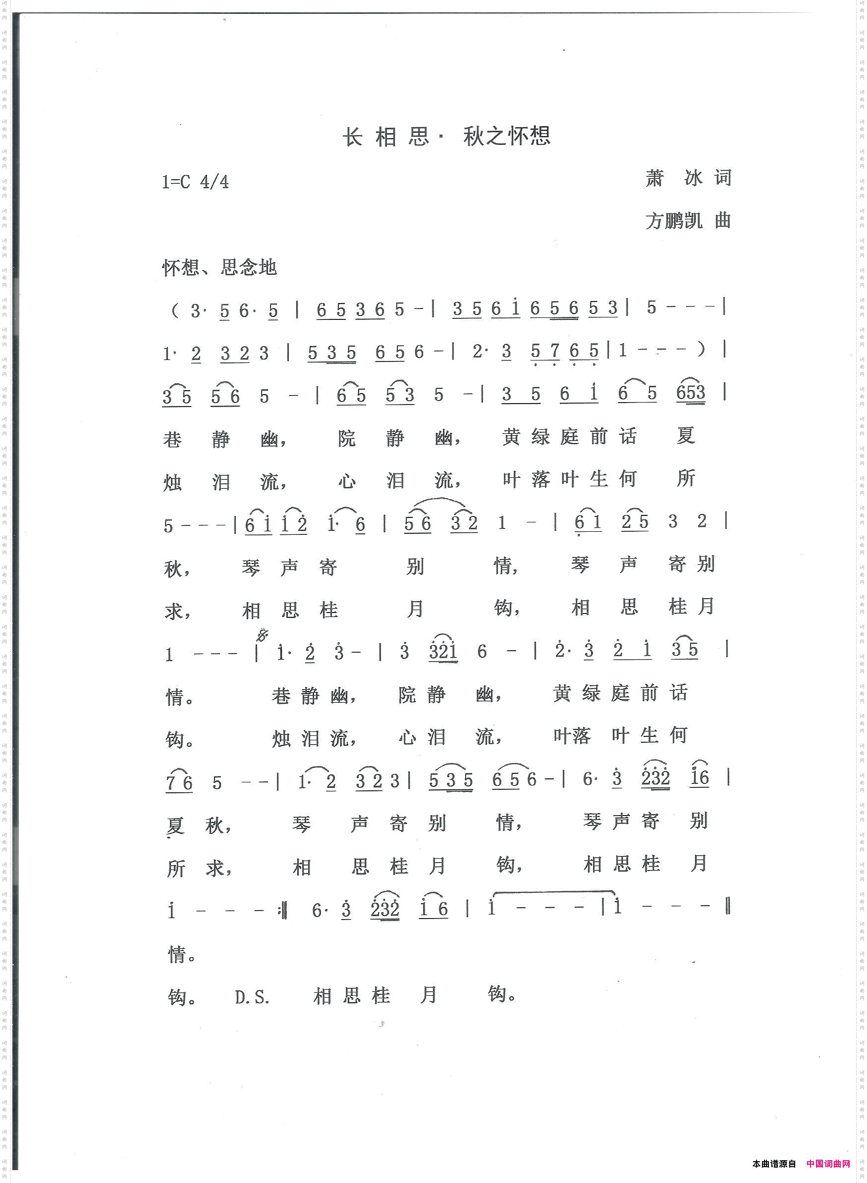
长相思秋之怀想-萧冰,方鹏凯简谱

长相思秋之怀想

相关话题:萧冰   方鹏凯

乐器分类
戏曲专栏
热门话题