首页 > 声乐 > 简谱 / 正文内容_让我慢慢长大-让我慢慢长大,吕静,吴雄,郑风,郑风简谱

让我慢慢长大-让我慢慢长大,吕静,吴雄,郑风,郑风简谱

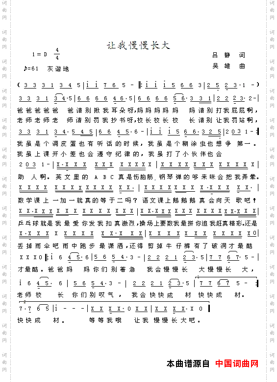
让我慢慢长大

相关话题:让我慢慢长大   吕静   吴雄   郑风   郑风

乐器分类
戏曲专栏
热门话题