首页 > 声乐 > 简谱 / 正文内容_偏偏喜欢你-偏偏喜欢你,郑国江,陈百强,陈百强简谱

偏偏喜欢你-偏偏喜欢你,郑国江,陈百强,陈百强简谱

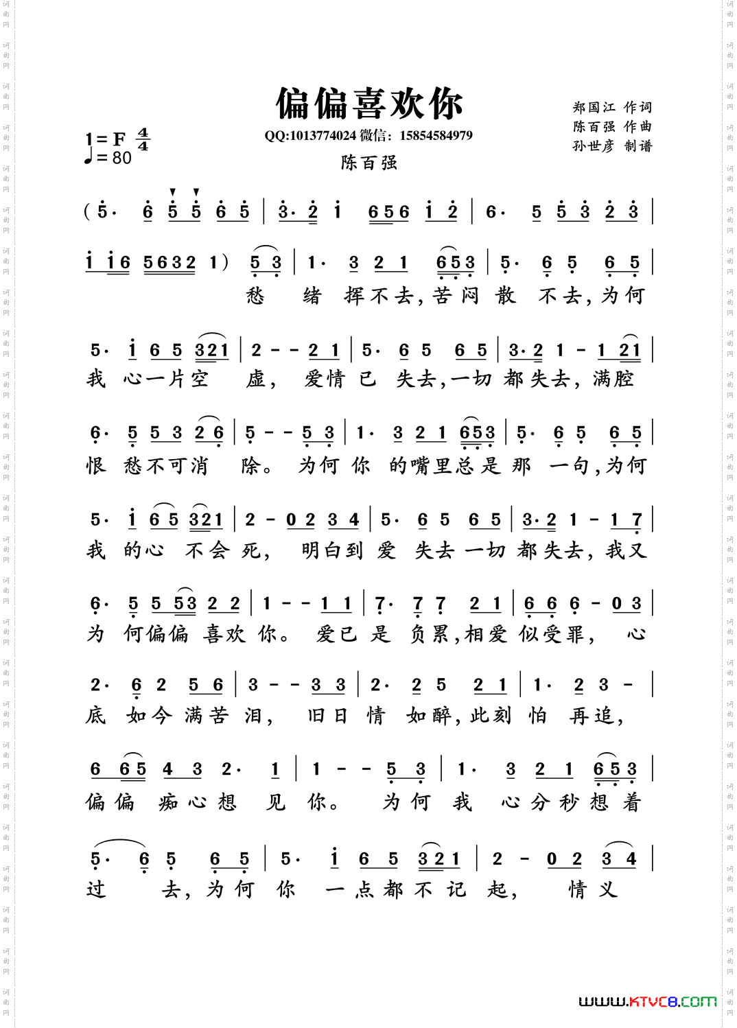
偏偏喜欢你

偏偏喜欢你

相关话题:偏偏喜欢你   郑国江   陈百强   陈百强

乐器分类
戏曲专栏
热门话题