首页 > 声乐 > 简谱 / 正文内容_哈萨克姑娘-哈萨克姑娘,李信,何丽华,钱万千简谱

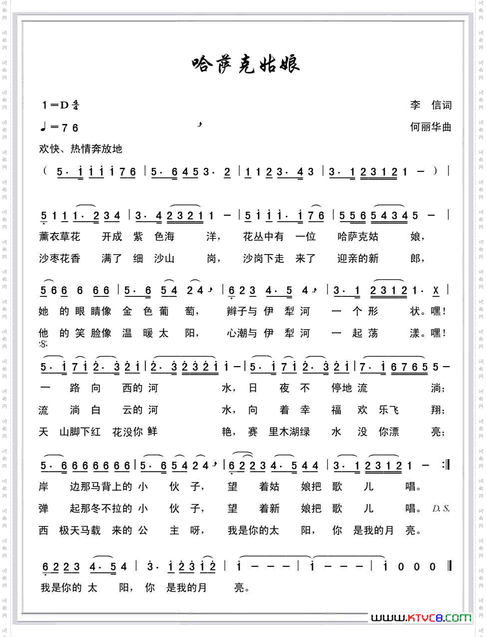
哈萨克姑娘-哈萨克姑娘,李信,何丽华,钱万千简谱

哈萨克姑娘

相关话题:哈萨克姑娘   李信   何丽华   钱万千

乐器分类
戏曲专栏
热门话题