首页 > 声乐 > 简谱 / 正文内容_幸福枸杞园-幸福枸杞园,何丽华,蔡德暖,天籁天简谱

幸福枸杞园-幸福枸杞园,何丽华,蔡德暖,天籁天简谱

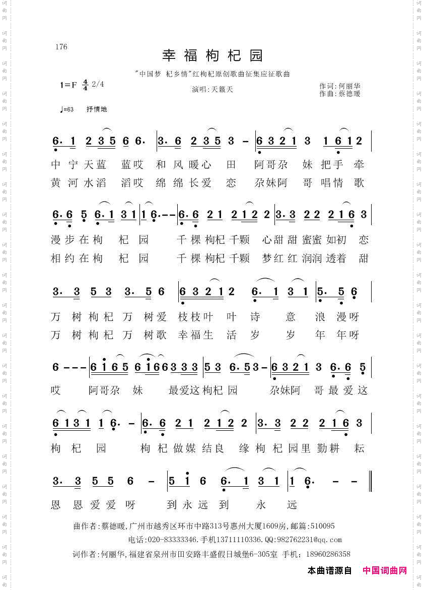
幸福枸杞园

相关话题:幸福枸杞园   何丽华   蔡德暖   天籁天

乐器分类
戏曲专栏
热门话题