首页 > 声乐 > 简谱 / 正文内容_百姓心中有了你-戴娆简谱

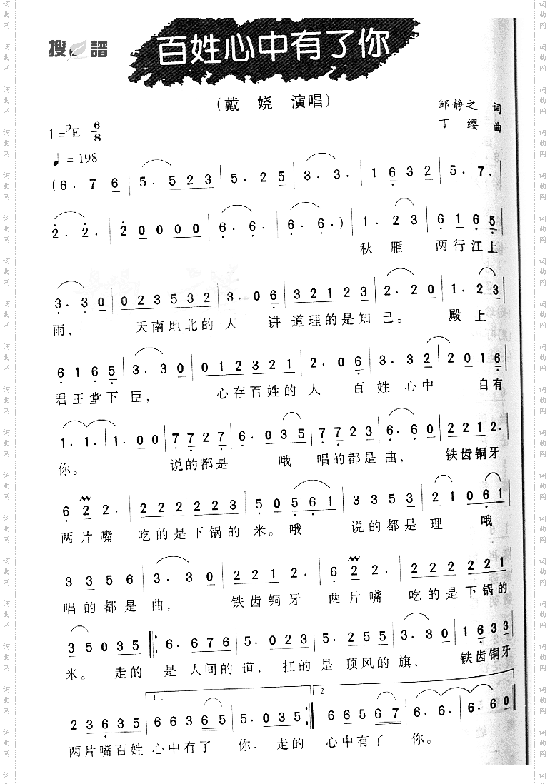
百姓心中有了你-戴娆简谱

百姓心中有了你

相关话题:戴娆

乐器分类
戏曲专栏
热门话题