首页 > 声乐 > 简谱 / 正文内容_去者-去者,刘欢简谱

去者-去者,刘欢简谱

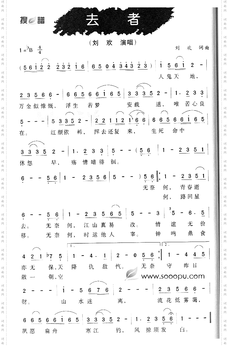
去者

相关话题:去者   刘欢

乐器分类
戏曲专栏
热门话题