首页 > 声乐 > 简谱 / 正文内容_DO-Re-Mi-简谱

DO-Re-Mi-简谱

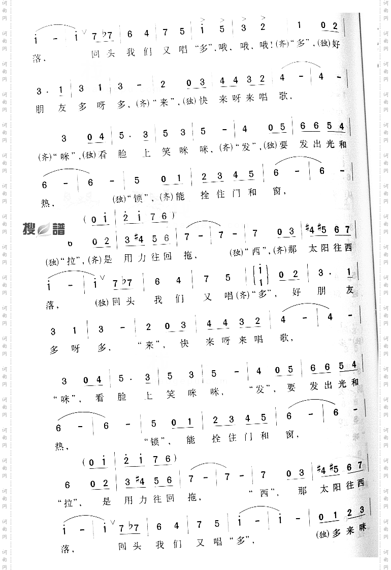
DO-Re-Mi

DO-Re-Mi

DO-Re-Mi

DO-Re-Mi

DO-Re-Mi

DO-Re-Mi

相关话题:

猜你喜欢的简谱

    暂无相关信息
乐器分类
戏曲专栏
热门话题