首页 > 声乐 > 简谱 / 正文内容_路过一座村庄-路过一座村庄简谱

路过一座村庄-路过一座村庄简谱

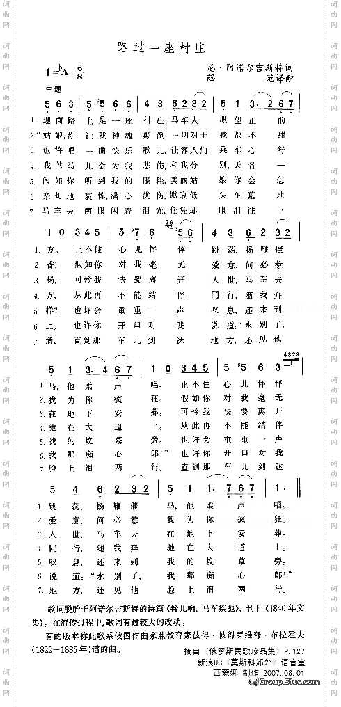
路过一座村庄

相关话题:路过一座村庄

猜你喜欢的简谱

乐器分类
戏曲专栏
热门话题