首页 > 声乐 > 简谱 / 正文内容_童年的最后一次铃声-简谱

童年的最后一次铃声-简谱

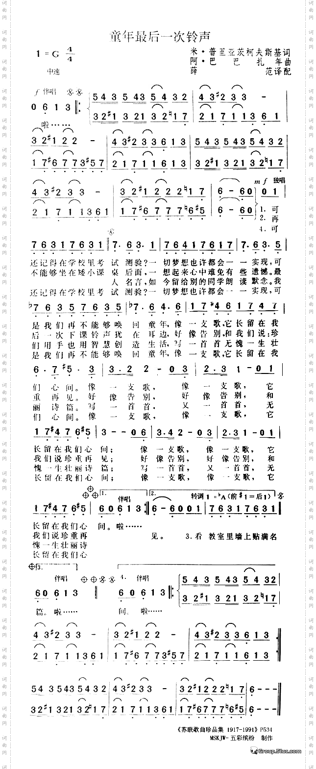
童年的最后一次铃声

相关话题:

猜你喜欢的简谱

    暂无相关信息
乐器分类
戏曲专栏
热门话题