首页 > 声乐 > 简谱 / 正文内容_悬岩-悬岩简谱

悬岩-悬岩简谱

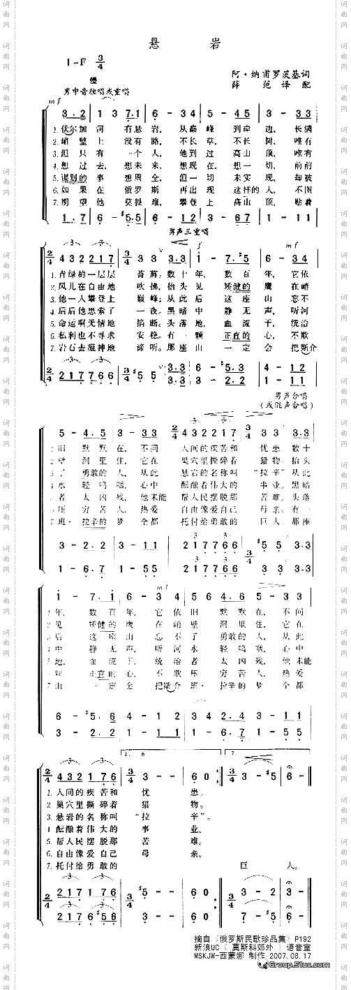
悬岩

相关话题:悬岩

猜你喜欢的简谱

乐器分类
戏曲专栏
热门话题