首页 > 声乐 > 简谱 / 正文内容_复旦大学校歌三-简谱

复旦大学校歌三-简谱

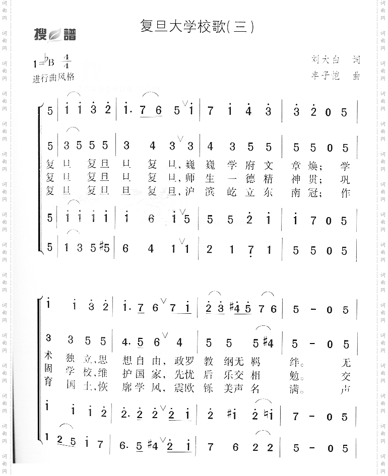
复旦大学校歌三

复旦大学校歌三

复旦大学校歌三

相关话题:

猜你喜欢的简谱

    暂无相关信息
乐器分类
戏曲专栏
热门话题