首页 > 声乐 > 简谱 / 正文内容_乘着歌声的翅膀∙-外国名曲简谱

乘着歌声的翅膀∙-外国名曲简谱

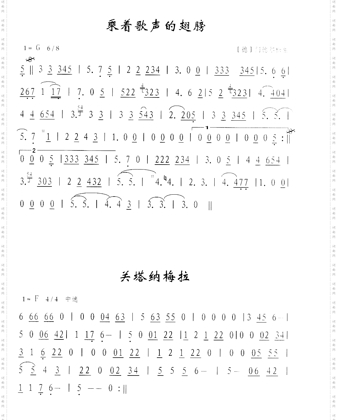
乘着歌声的翅膀∙

相关话题:外国名曲

乐器分类
戏曲专栏
热门话题