首页 > 声乐 > 简谱 / 正文内容_亲爱的军队亲爱的人-简谱

亲爱的军队亲爱的人-简谱

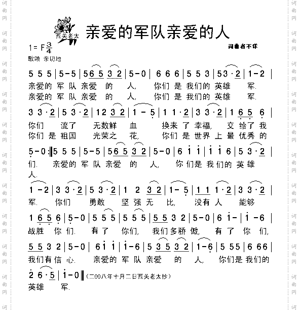
亲爱的军队亲爱的人

相关话题:

猜你喜欢的简谱

    暂无相关信息
乐器分类
戏曲专栏
热门话题