首页 > 声乐 > 简谱 / 正文内容_中华儿女-中华儿女简谱

中华儿女-中华儿女简谱

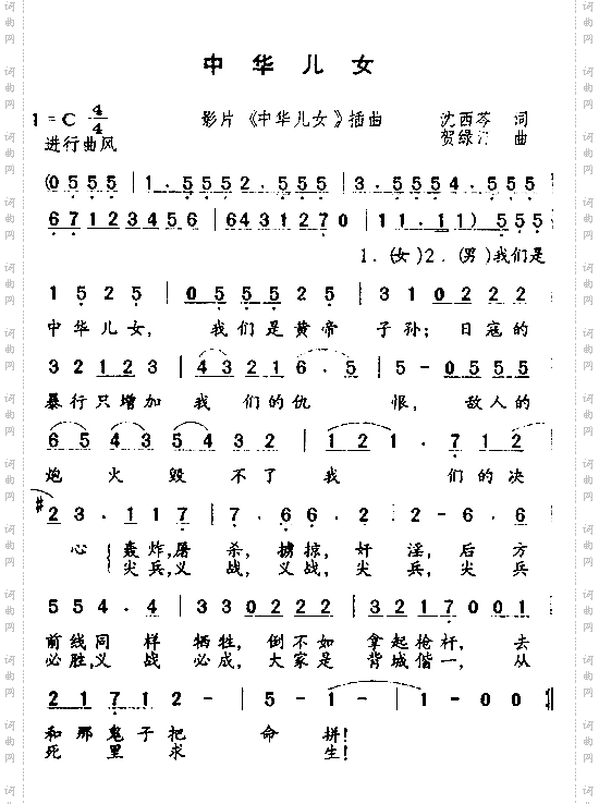
中华儿女

相关话题:中华儿女

乐器分类
戏曲专栏
热门话题