首页 > 声乐 > 简谱 / 正文内容_等你在江南-等你在江南,蓝桥幽梦简谱

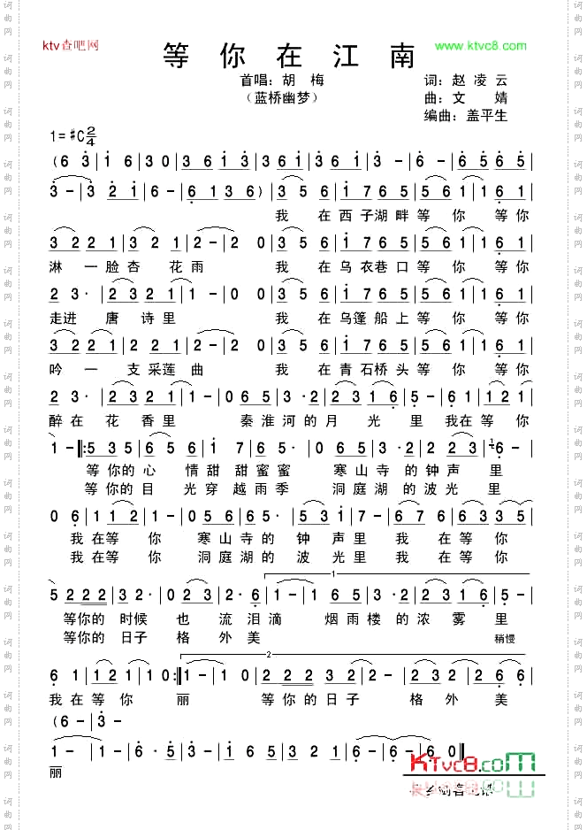
等你在江南-等你在江南,蓝桥幽梦简谱

等你在江南

相关话题:等你在江南   蓝桥幽梦

乐器分类
戏曲专栏
热门话题