首页 > 声乐 > 简谱 / 正文内容_广场之约-广场之约简谱

广场之约-广场之约简谱

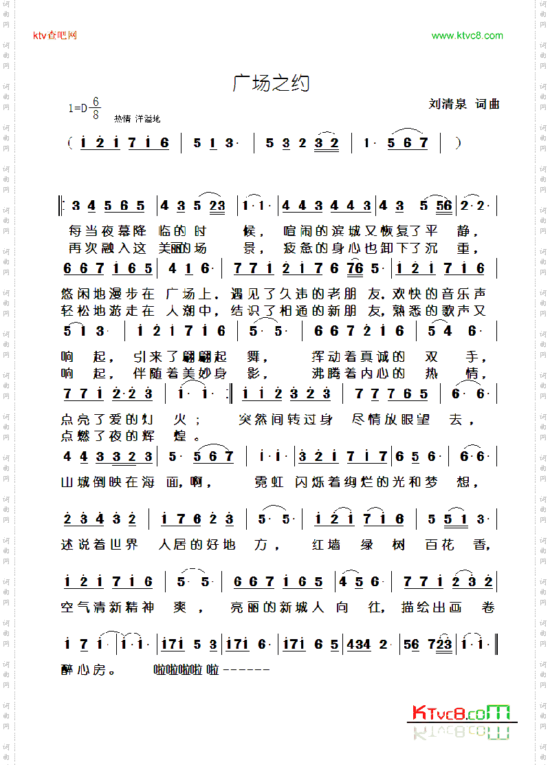
广场之约

相关话题:广场之约

猜你喜欢的简谱

乐器分类
戏曲专栏
热门话题