首页 > 声乐 > 简谱 / 正文内容_姑娘走的地方-姑娘走的地方,扎西顿珠简谱

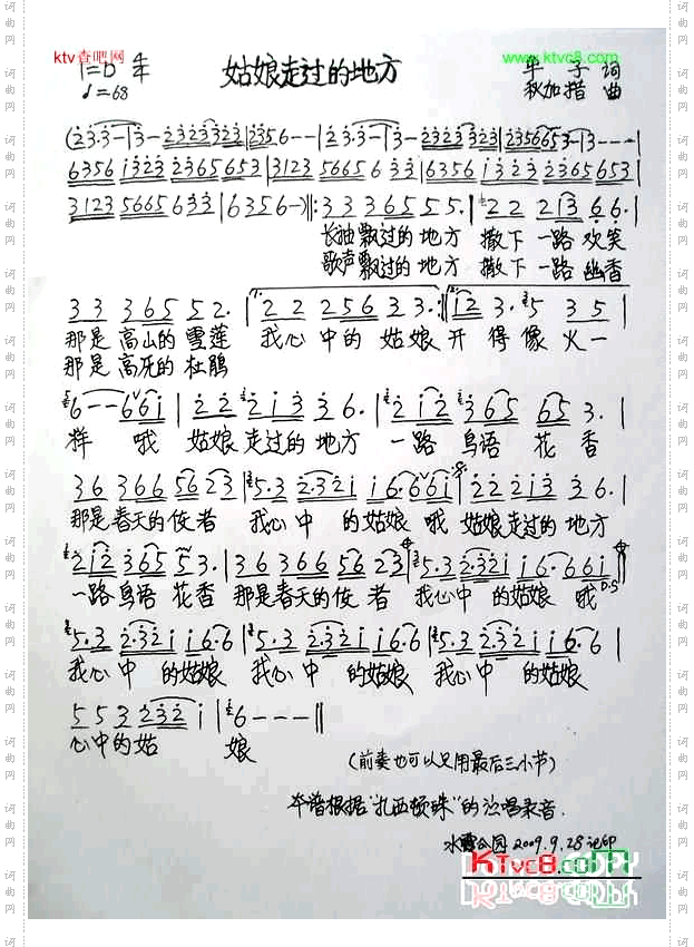
姑娘走的地方-姑娘走的地方,扎西顿珠简谱

姑娘走的地方

相关话题:姑娘走的地方   扎西顿珠

乐器分类
戏曲专栏
热门话题