首页 > 声乐 > 简谱 / 正文内容_请你相信我-请你相信我,玉镯儿,陈伟,徐海琴简谱

请你相信我-请你相信我,玉镯儿,陈伟,徐海琴简谱

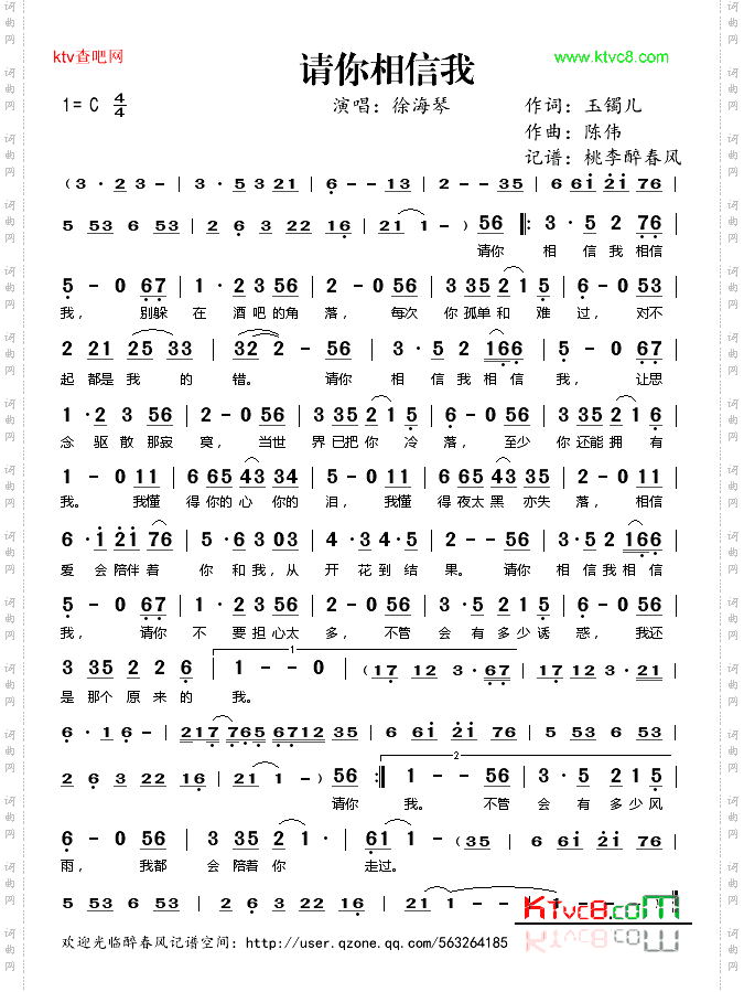
请你相信我

相关话题:请你相信我   玉镯儿   陈伟   徐海琴

乐器分类
戏曲专栏
热门话题