首页 > 声乐 > 简谱 / 正文内容_蓝色东海岸-蓝色东海岸简谱

蓝色东海岸-蓝色东海岸简谱

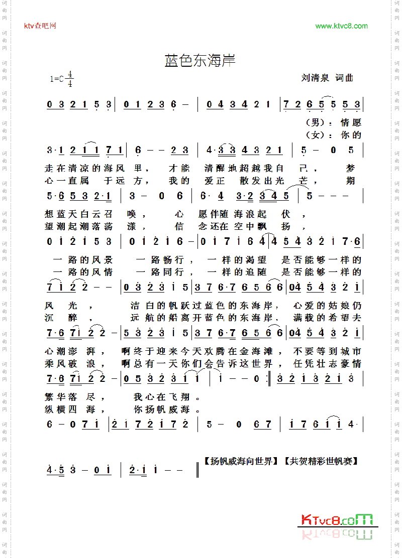
蓝色东海岸

相关话题:蓝色东海岸

猜你喜欢的简谱

    暂无相关信息
乐器分类
戏曲专栏
热门话题