首页 > 声乐 > 简谱 / 正文内容_葬花吟.完整版-简谱

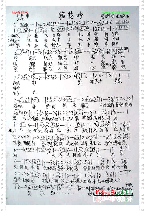
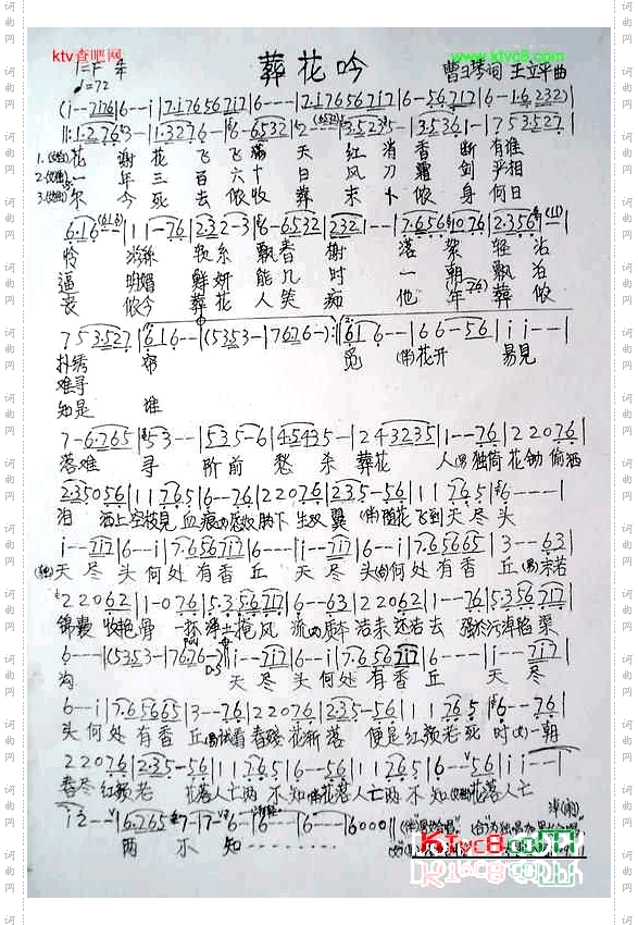
葬花吟.完整版-简谱

葬花吟.完整版

葬花吟.完整版

相关话题:

猜你喜欢的简谱

    暂无相关信息
乐器分类
戏曲专栏
热门话题