首页 > 声乐 > 简谱 / 正文内容_呼伦贝尔大草原-乌兰托娅简谱

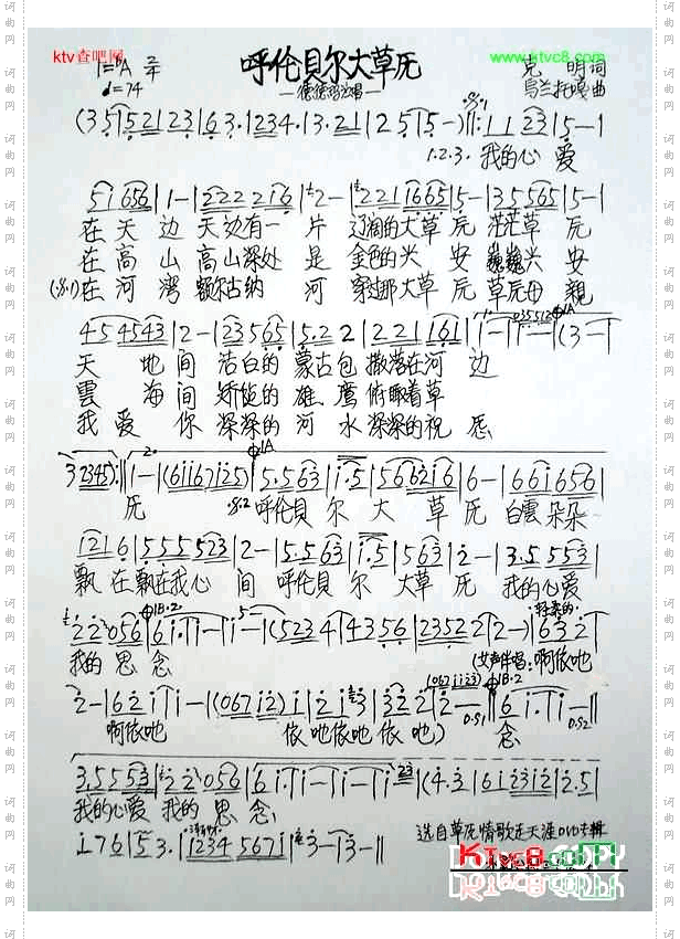
呼伦贝尔大草原-乌兰托娅简谱

呼伦贝尔大草原

相关话题:乌兰托娅

乐器分类
戏曲专栏
热门话题