首页 > 声乐 > 简谱 / 正文内容_召唤作曲布索作词扎西多杰-谭维维简谱

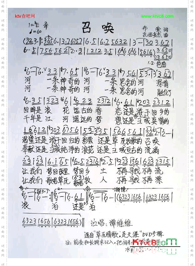
召唤作曲布索作词扎西多杰-谭维维简谱

召唤作曲布索作词扎西多杰

召唤作曲布索作词扎西多杰

召唤作曲布索作词扎西多杰

相关话题:谭维维

乐器分类
戏曲专栏
热门话题