首页 > 声乐 > 简谱 / 正文内容_祖国之恋-祖国之恋,王丽达简谱

祖国之恋-祖国之恋,王丽达简谱

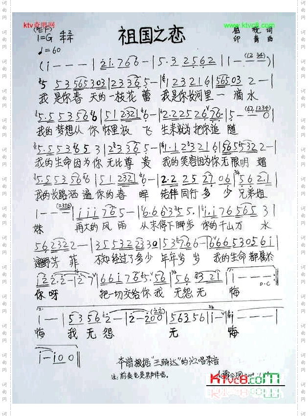
祖国之恋

相关话题:祖国之恋   王丽达

乐器分类
戏曲专栏
热门话题