首页 > 声乐 > 简谱 / 正文内容_美酒赞歌-美酒赞歌,阿拉泰简谱

美酒赞歌-美酒赞歌,阿拉泰简谱

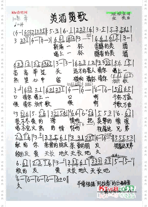
美酒赞歌

相关话题:美酒赞歌   阿拉泰

乐器分类
戏曲专栏
热门话题