首页 > 声乐 > 简谱 / 正文内容_藏汉一家亲-藏汉一家亲,扎西简谱

藏汉一家亲-藏汉一家亲,扎西简谱

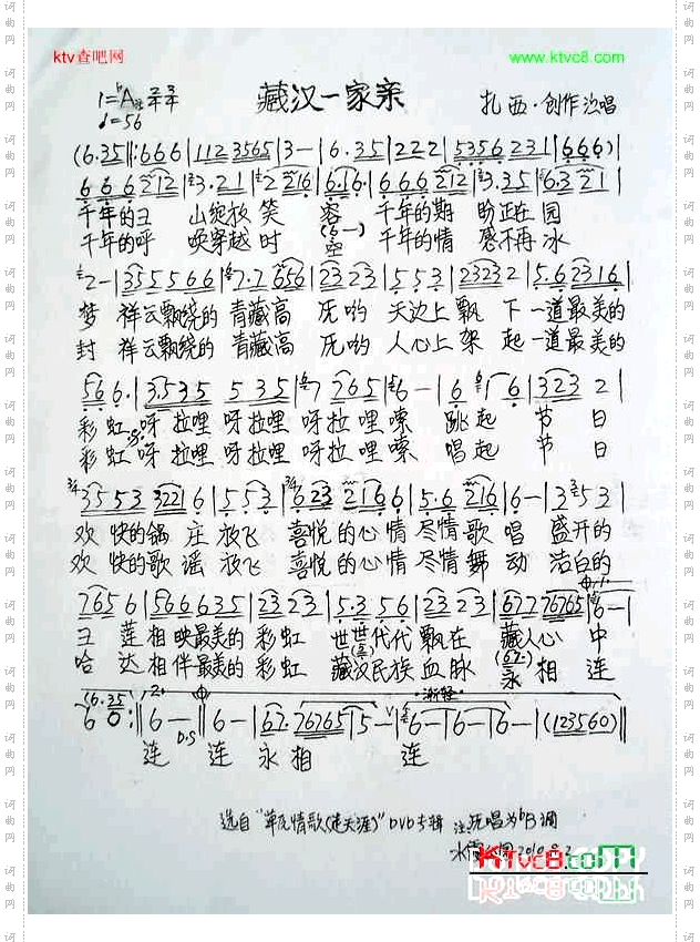
藏汉一家亲

相关话题:藏汉一家亲   扎西

乐器分类
戏曲专栏
热门话题