首页 > 声乐 > 简谱 / 正文内容_父亲的草原母亲的河-席慕容,乌兰托嘎,德德玛简谱

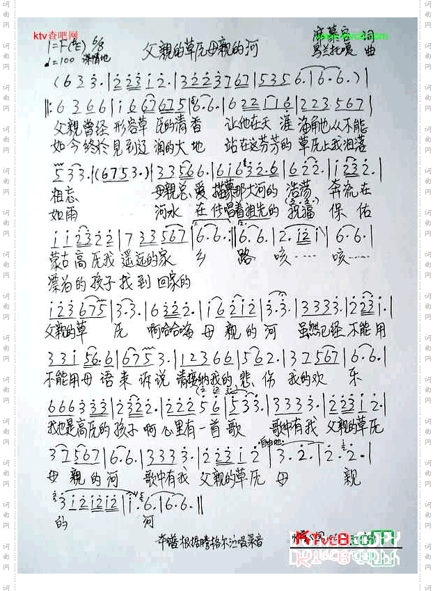
父亲的草原母亲的河-席慕容,乌兰托嘎,德德玛简谱

父亲的草原母亲的河

相关话题:席慕容   乌兰托嘎   德德玛

乐器分类
戏曲专栏
热门话题