首页 > 声乐 > 简谱 / 正文内容_想念父母-想念父母,姜丰简谱

想念父母-想念父母,姜丰简谱

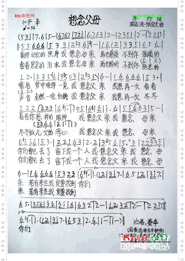
想念父母

相关话题:想念父母   姜丰

乐器分类
戏曲专栏
热门话题