首页 > 声乐 > 简谱 / 正文内容_亲吻祖国-亲吻祖国,王丽达简谱

亲吻祖国-亲吻祖国,王丽达简谱

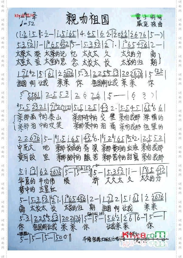
亲吻祖国

相关话题:亲吻祖国   王丽达

乐器分类
戏曲专栏
热门话题