首页 > 声乐 > 简谱 / 正文内容_七夕谣-七夕谣,美思子简谱

七夕谣-七夕谣,美思子简谱

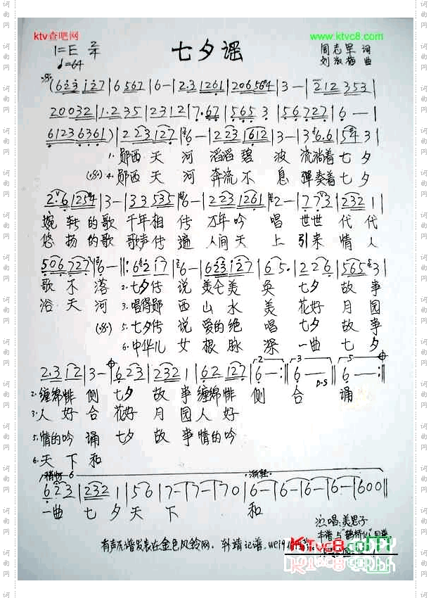
七夕谣

相关话题:七夕谣   美思子

乐器分类
戏曲专栏
热门话题