首页 > 声乐 > 简谱 / 正文内容_这里的天空好蓝好蓝-亚东简谱

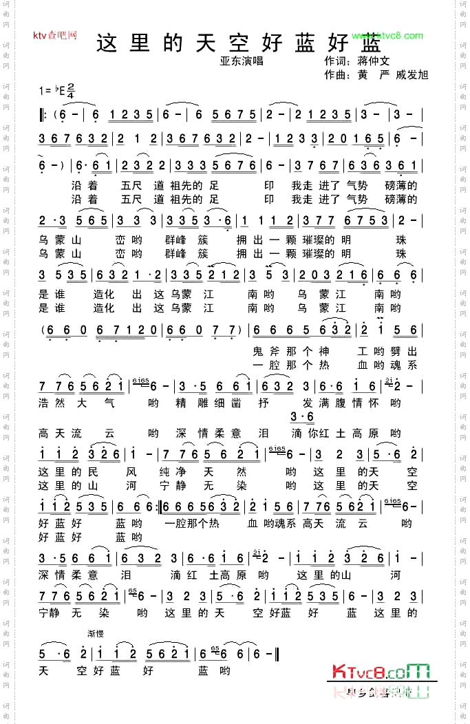
这里的天空好蓝好蓝-亚东简谱

这里的天空好蓝好蓝

相关话题:亚东

乐器分类
戏曲专栏
热门话题