首页 > 声乐 > 简谱 / 正文内容_你是星光你是月亮-索南扎西简谱

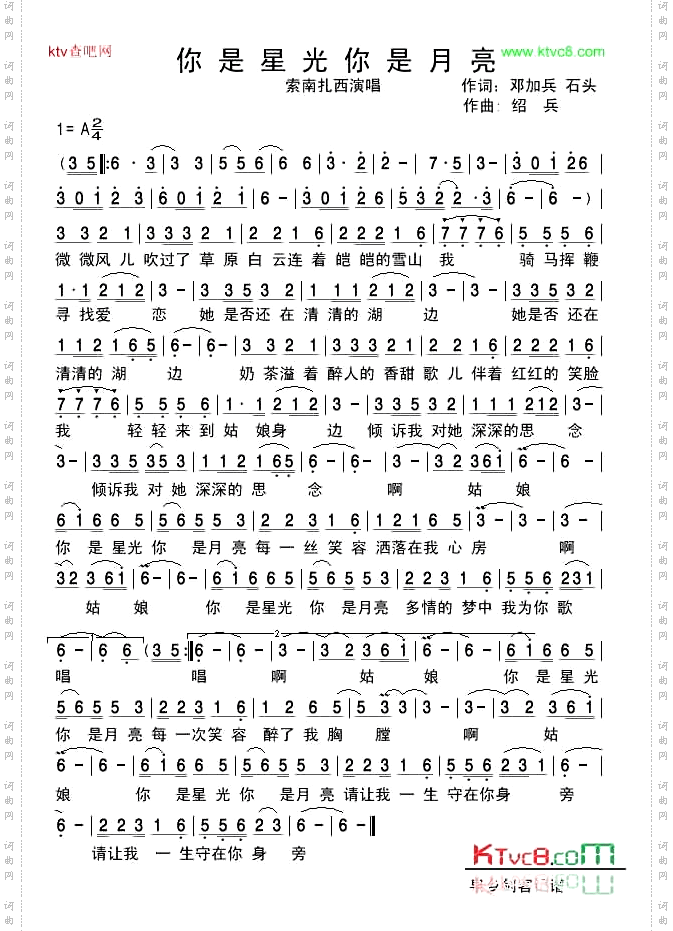
你是星光你是月亮-索南扎西简谱

你是星光你是月亮

相关话题:索南扎西

乐器分类
戏曲专栏
热门话题