首页 > 声乐 > 简谱 / 正文内容_金发琴妮-金发琴妮简谱

金发琴妮-金发琴妮简谱

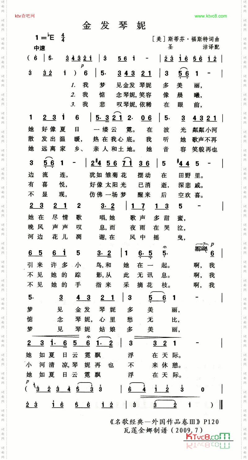
金发琴妮

金发琴妮

相关话题:金发琴妮

乐器分类
戏曲专栏
热门话题