首页 > 声乐 > 简谱 / 正文内容_我亲爱的孩子们-简谱

我亲爱的孩子们-简谱

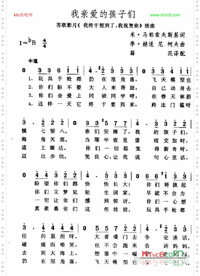
我亲爱的孩子们

我亲爱的孩子们

相关话题:

猜你喜欢的简谱

    暂无相关信息
乐器分类
戏曲专栏
热门话题