首页 > 声乐 > 简谱 / 正文内容_给了我们青春的希望-简谱

给了我们青春的希望-简谱

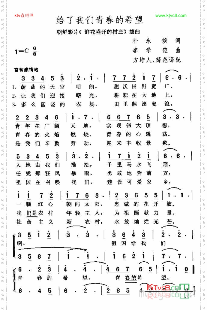
给了我们青春的希望

相关话题:

猜你喜欢的简谱

    暂无相关信息
乐器分类
戏曲专栏
热门话题