首页 > 声乐 > 简谱 / 正文内容_拍手,拍手-拍手,拍手,沈晓虹,沈晓虹简谱

拍手,拍手-拍手,拍手,沈晓虹,沈晓虹简谱

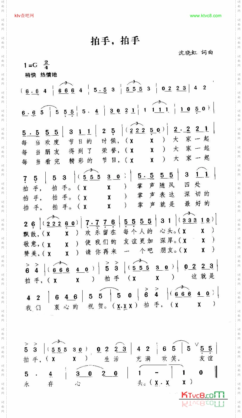
拍手,拍手

相关话题:拍手   拍手   沈晓虹   沈晓虹

乐器分类
戏曲专栏
热门话题