首页 > 声乐 > 简谱 / 正文内容_夜深深风阵阵湘水流淌-简谱

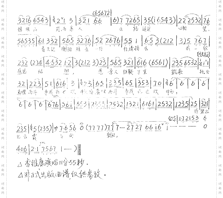
夜深深风阵阵湘水流淌-简谱

夜深深风阵阵湘水流淌

夜深深风阵阵湘水流淌

夜深深风阵阵湘水流淌

夜深深风阵阵湘水流淌

相关话题:

猜你喜欢的简谱

    暂无相关信息
乐器分类
戏曲专栏
热门话题