首页 > 声乐 > 简谱 / 正文内容_我亲爱的孩子《我祝贺你》插曲-米。马都索夫斯基,季.赫连尼柯夫简谱

我亲爱的孩子《我祝贺你》插曲-米。马都索夫斯基,季.赫连尼柯夫简谱

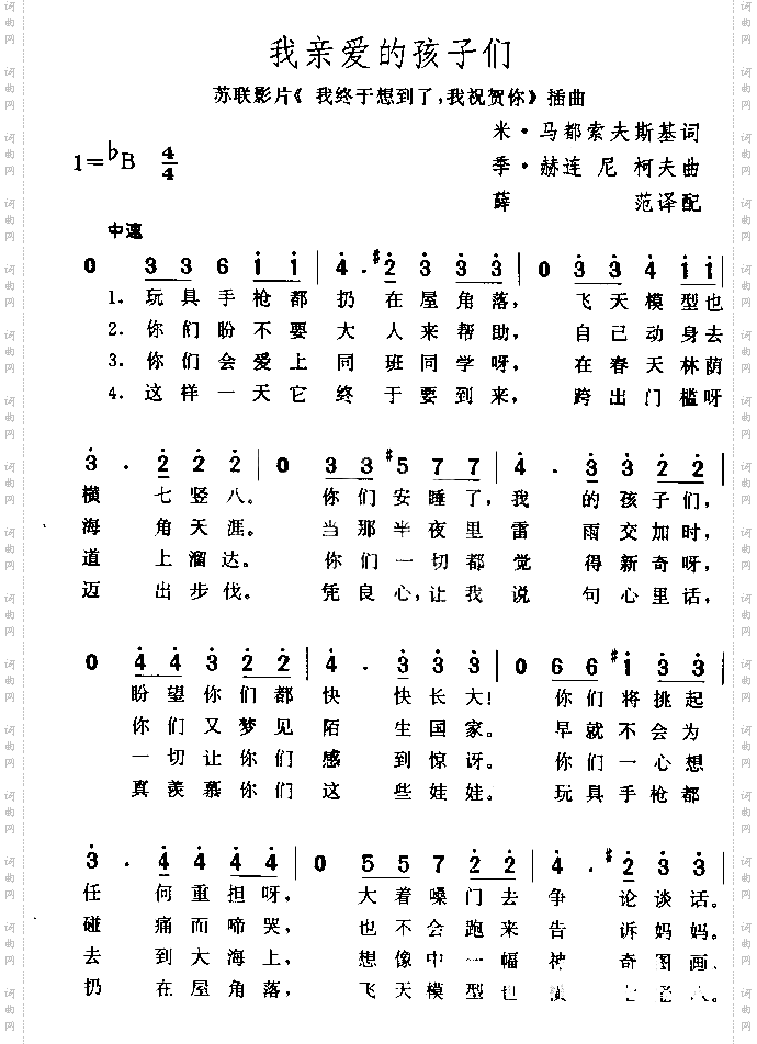
我亲爱的孩子《我祝贺你》插曲

我亲爱的孩子《我祝贺你》插曲

相关话题:米。马都索夫斯基   季.赫连尼柯夫

乐器分类
戏曲专栏
热门话题