首页 > 声乐 > 简谱 / 正文内容_快听我歌唱-快听我歌唱简谱

快听我歌唱-快听我歌唱简谱

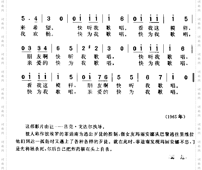
快听我歌唱

快听我歌唱

相关话题:快听我歌唱

乐器分类
戏曲专栏
热门话题