首页 > 声乐 > 简谱 / 正文内容_有爱同行-有爱同行,蔡国庆简谱

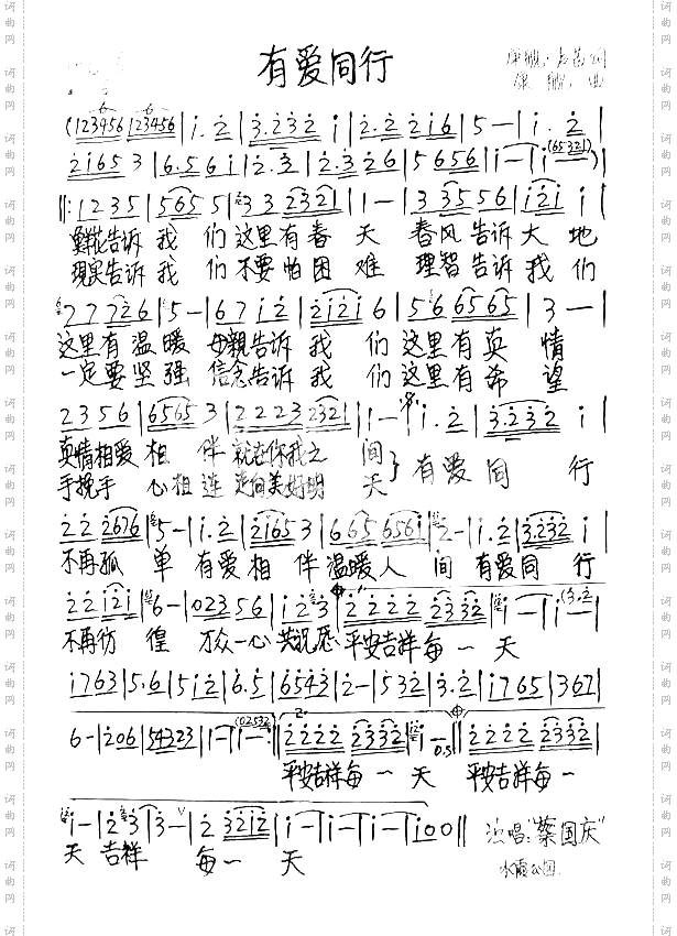
有爱同行-有爱同行,蔡国庆简谱

有爱同行

相关话题:有爱同行   蔡国庆

乐器分类
戏曲专栏
热门话题