首页 > 声乐 > 简谱 / 正文内容_哎呀呀-哎呀呀,张含韵简谱

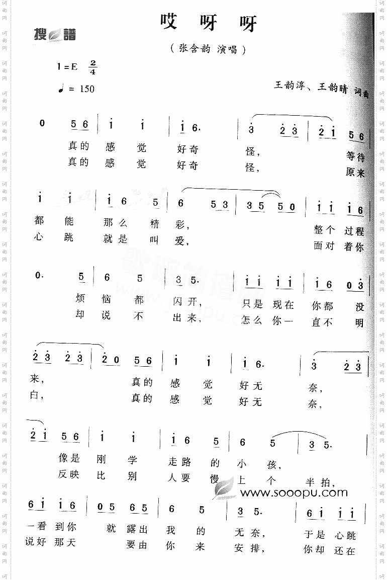
哎呀呀-哎呀呀,张含韵简谱

哎呀呀

哎呀呀

哎呀呀

相关话题:哎呀呀   张含韵

乐器分类
戏曲专栏
热门话题