首页 > 声乐 > 简谱 / 正文内容_《合家欢》--合家欢,费玉清简谱

《合家欢》--合家欢,费玉清简谱

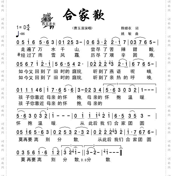
《合家欢》

相关话题:-合家欢   费玉清

乐器分类
戏曲专栏
热门话题