首页 > 声乐 > 简谱 / 正文内容_《有娘叫,最幸福》清晰简谱-王培元,陆城,舒国万简谱

《有娘叫,最幸福》清晰简谱-王培元,陆城,舒国万简谱

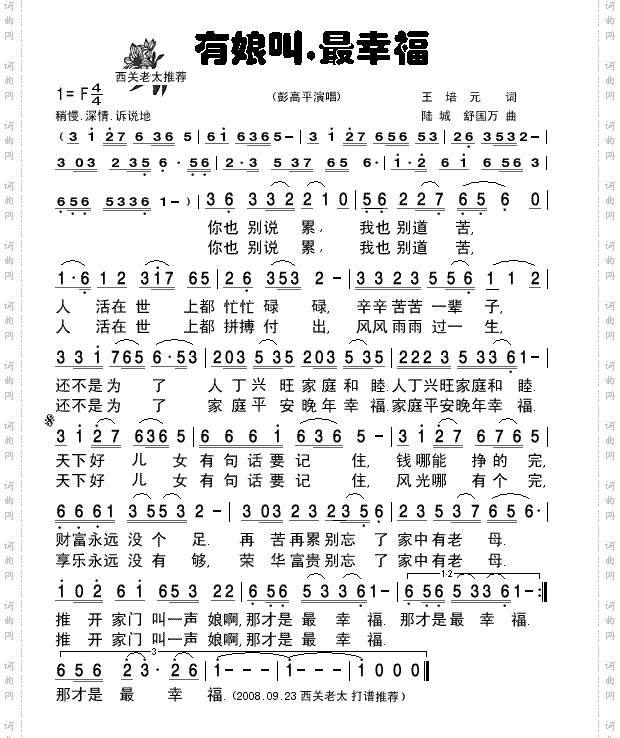
《有娘叫,最幸福》清晰简谱

相关话题:王培元   陆城   舒国万

乐器分类
戏曲专栏
热门话题