首页 > 声乐 > 简谱 / 正文内容_温柔的晚安-温柔的晚安简谱

温柔的晚安-温柔的晚安简谱

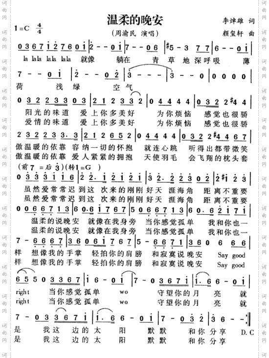
温柔的晚安

相关话题:温柔的晚安

乐器分类
戏曲专栏
热门话题