首页 > 声乐 > 简谱 / 正文内容_橄榄树**-橄榄树**简谱

橄榄树**-橄榄树**简谱

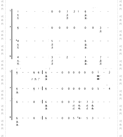
橄榄树**

橄榄树**

橄榄树**

橄榄树**

橄榄树**

橄榄树**

相关话题:橄榄树**

乐器分类
戏曲专栏
热门话题