首页 > 声乐 > 简谱 / 正文内容_一个美好的心愿-简谱

一个美好的心愿-简谱

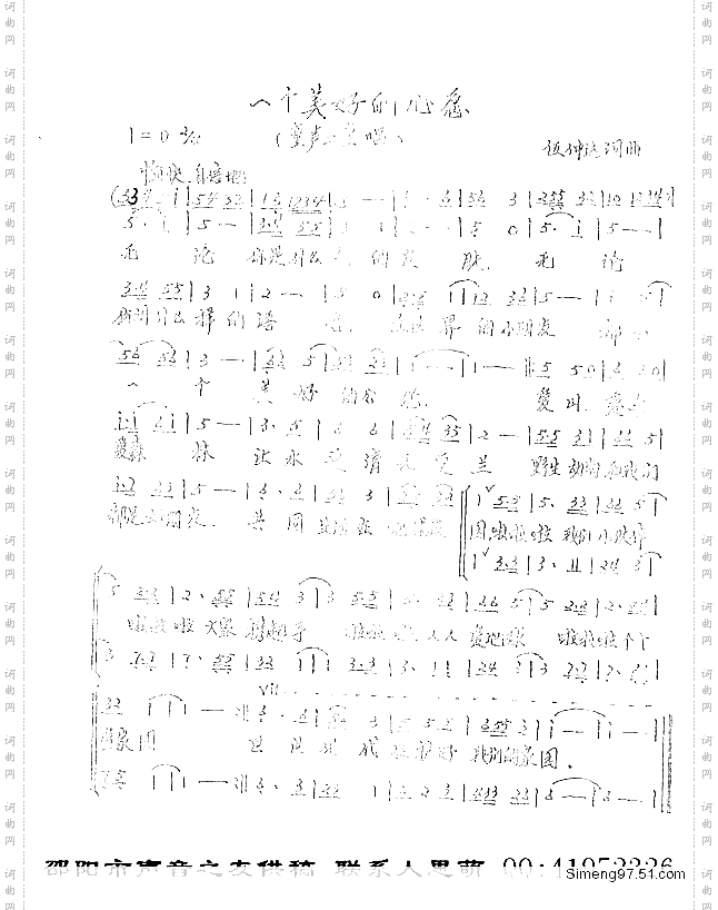
一个美好的心愿

相关话题:

猜你喜欢的简谱

    暂无相关信息
乐器分类
戏曲专栏
热门话题