首页 > 声乐 > 简谱 / 正文内容_欢乐颂-欢乐颂简谱

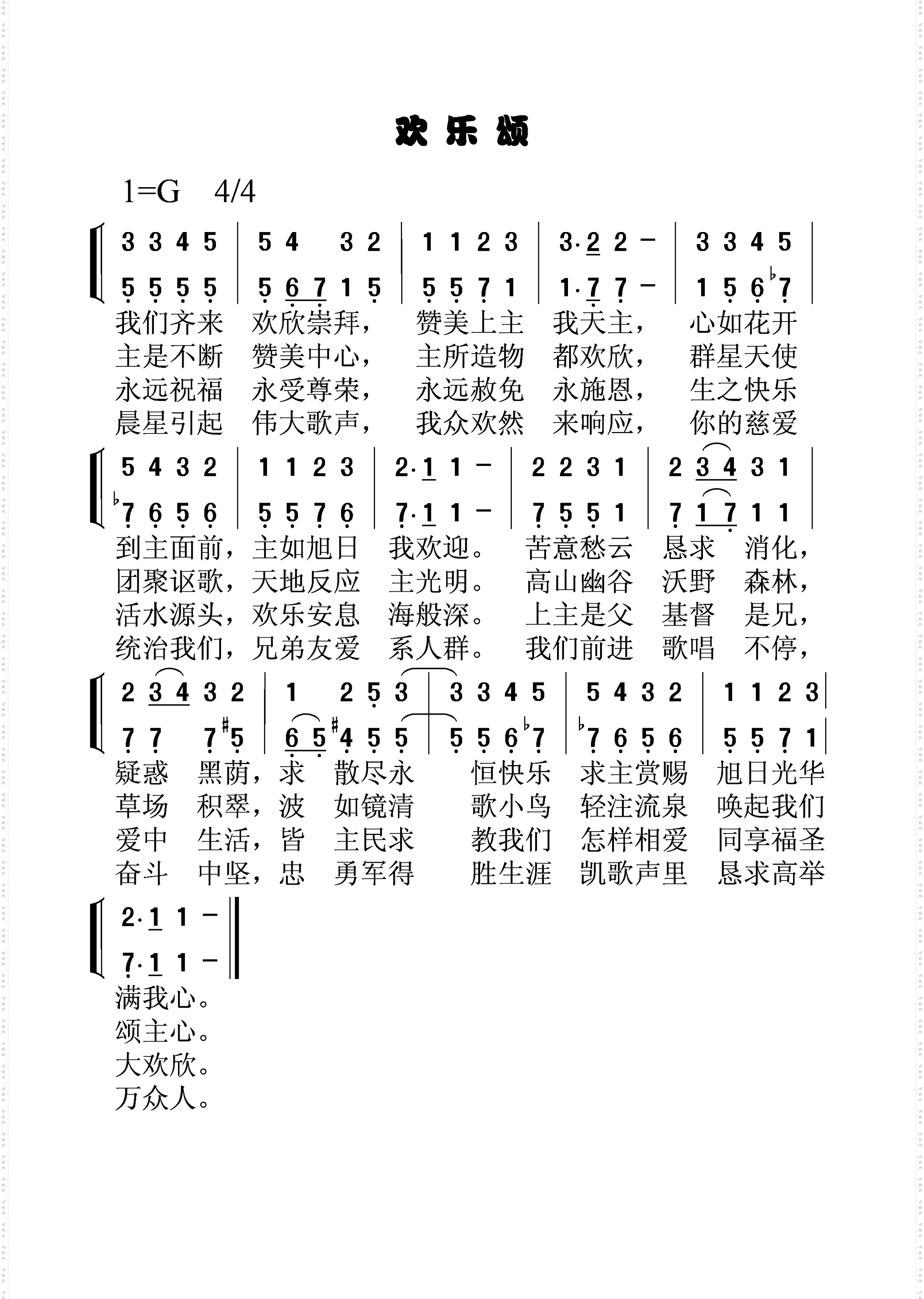
欢乐颂-欢乐颂简谱

欢乐颂

相关话题:欢乐颂

乐器分类
戏曲专栏
热门话题